Όταν μια πρώτη ύλη είναι σκόνη (ή αλλιώς κόνις), έχει μεγάλη σημασία το μέγεθος των σωματιδίων (ή τεμαχιδίων) από τα οποία αποτελείται για την ποιότητα του προϊόντος που παράγεται από αυτή. Επειδή όλα τα σωματίδια στη σκόνη δεν έχουν το ίδιο μέγεθος και σχήμα, για αυτό μιλούμε για κατανομή μεγέθους και μέση διάμετρο των σωματιδίων. Οι παραγωγοί προϊόντων που χρησιμοποιούν μια πρώτη ύλη σε μορφή σκόνης, θέλουν οι παρτίδες της να έχουν παραπλήσια κατανομή μεγέθους σωματιδίων, καθώς το μέγεθος επηρεάζει τη δραστικότητα, τις φυσικοχημικές ιδιότητες και γενικά τη συμπεριφορά της σκόνης κατά την παραγωγή και τη συσκευασία.
Οι αξιόλογοι προμηθευτές και βιομηχανίες που παράγουν σκόνες, μελετούν το μέγεθος των σωματιδίων και παρέχουν τις σχετικές πληροφορίες στους πελάτες τους, μέσω των προδιαγραφών και των πιστοποιητικών ανάλυσης.
Υπάρχουν διάφορες μέθοδοι για τη μελέτη και τον υπολογισμό του μεγέθους των σωματιδίων των κόνεων. Μία μέθοδος που χρησιμοποιείται από παλιά είναι αυτή της καθίζησης. Παρακάτω ακολουθούν απαντήσεις, σε σχετικές ερωτήσεις πιστοποίησης που υπάρχουν γύρω από αυτό το θέμα.
Ερώτηση πιστοποίησης 46Α. Τεχνικός Φαρμάκων Καλλυντικών και Παρεμφερών Προϊόντων. Περιγράψτε τη μέθοδο μέτρησης μεγέθους σωματιδίων με τη βοήθεια της καθίζησης. (Που βασίζεται, μαθηματική σχέση και επεξήγηση μεγεθών που περιέχονται σε αυτή).Τί παριστάνουν τα μεγέθη στον τύπο του Stokes;
Ερώτηση Πιστοποίησης 99 Βοηθός φαρμακείου. Μια μέθοδος μέτρησης του μεγέθους των σωματιδίων είναι η καθίζηση. Πού βασίζεται και με ποια μαθηματική σχέση εκφράζεται;
Κατά τον προσδιορισμού της διαμέτρου των σωματιδίων με τη μέθοδο της καθίζησης, χρησιμοποιείται ένα υγρό υλικό (στο οποίο δεν διαλύεται η σκόνη) γνωστής πυκνότητας και ιξώδους. Μέσα στο υγρό, εισάγεται η στερεά σκόνη της οποίας τη διάμετρο των σωματιδίων θέλουμε να προσδιορίσουμε, και αφήνεται να κατακαθίσει μέσα σε ειδική συσκευή όπως το σιφώνιο Andreasen. Σε συγκεκριμένα χρονικά διαστήματα (t) λαμβάνεται δείγμα με τη βοήθεια της συσκευής από συγκεκριμένο σημείο βάθους (h). Μετά από ξήρανση του δείγματος ζυγίζεται η περιεχόμενη σκόνη. Στη συνέχεια, από το νόμο του Stoke, υπολογίζεται η μέση διάμετρος (d) των σωματιδίων στο συγκεκριμένο κλάσμα σκόνης.
Σύμφωνα με το νόμο του Stoke για τα σωματίδια που καθιζάνουν μέσα σε ένα υγρό εξαιτίας της βαρύτητας, ισχύει ότι ο ρυθμός καθίζησης των σωματιδίων (v) είναι συνάρτηση της διαμέτρου τους (d):
![]()
Όπου ν είναι ο ρυθμός καθίζησης των σωματιδίων, d η μέση διάμετρος τους, ρ1 η πυκνότητα τους, ρο η πυκνότητα του υγρού, ηο ο συντελεστής ιξώδους του υγρού και g η επιτάχυνση της βαρύτητας.
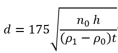
Κατά την καθίζηση, τα σωματίδια διανύουν διάστημα h, σε χρόνο t και ο ρυθμός καθίζησης είναι v=h/t. Αντικαθιστούμε το ν με το ίσο του στην παραπάνω εξίσωση. Αν επιπλέον λύσουμε την παραπάνω εξίσωση ως προς τη μέση διάμετρο d, αν αντικαταστήσουμε την επιτάχυνση της βαρύτητας g με την τιμή της, αν λάβουμε τις μονάδες μέτρησης του χρόνου σε min, του διαστήματος h σε cm και του ιξώδους σε poise, προκύπτει η παρακάτω σχέση:

Με βάση τις μετρήσεις της πειραματικής διαδικασίας, και την παραπάνω σχέση, υπολογίζεται η μέση διάμετρος των σωματιδίων.

